Đề khảo sát Toán 9 tháng 12 năm 2025 THCS Thịnh Quang – Đống Đa có đáp án

Đề khảo sát Toán lớp 9 tháng 12 năm học 2025 – 2026 trường THCS Thịnh Quang, phường Đống Đa, thành phố Hà Nội.

Ngày thi 03/12/2025. Thời gian làm bài 120 phút.

Đề khảo sát Toán 9 tháng 12 năm 2025 THCS Thịnh Quang – Đống Đa có đáp án

Đề khảo sát Toán 9 tháng 12 năm 2025 THCS Thịnh Quang – Đống Đa có đáp án

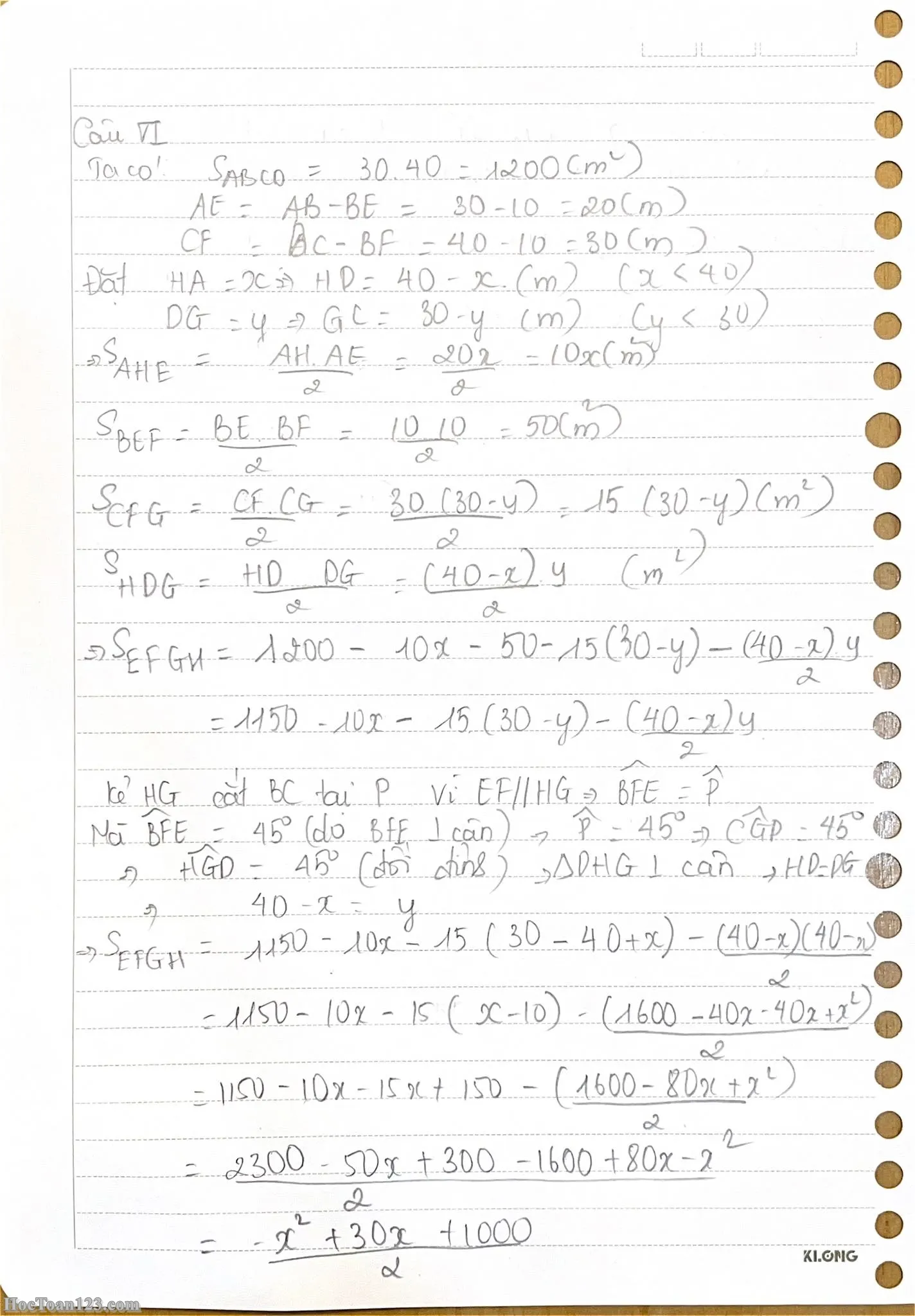
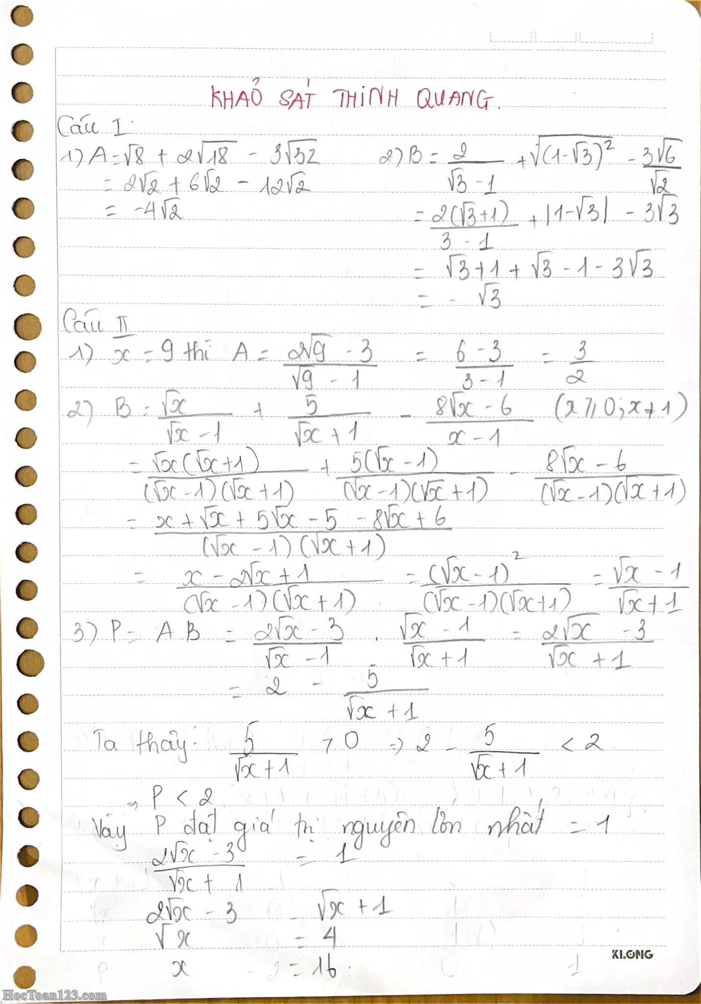
Đáp án Đề khảo sát Toán 9 tháng 12 năm 2025 THCS Thịnh Quang – Đống Đa

Đề khảo sát Toán 9 tháng 12 năm 2025 THCS Thịnh Quang – Đống Đa có đáp án

Đề khảo sát Toán 9 tháng 12 năm 2025 THCS Thịnh Quang – Đống Đa có đáp án

Đề khảo sát Toán 9 tháng 12 năm 2025 THCS Thịnh Quang – Đống Đa có đáp án

Đề khảo sát Toán 9 tháng 12 năm 2025 THCS Thịnh Quang – Đống Đa có đáp án

Đề khảo sát Toán 9 tháng 12 năm 2025 THCS Thịnh Quang – Đống Đa có đáp án

Đề khảo sát Toán 9 tháng 12 năm 2025 THCS Thịnh Quang – Đống Đa có đáp án

Đề khảo sát Toán 9 tháng 12 năm 2025 THCS Thịnh Quang – Đống Đa có đáp án

Để lại một bình luận

Email của bạn sẽ không được hiển thị công khai. Các trường bắt buộc được đánh dấu *